首 页
医药产品
医保药品
一键查询
中标目录
医药招标
数据中心
医学资料
医药新闻
医药展会
OTC药品
保健品
医疗器械
处方药
专科药
中医药
器械中标目录
药品批发行情
求购信息
医药下载
当前位置:药药网 / 医药药典 / 药典
妥布霉素
来源
二部
分类
正文品种第一部分
内容
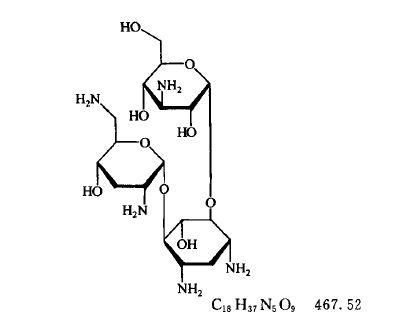
本品为O-3-氨基-3-脱氧-α-O-葡吡喃糖基-(l→6)-O-[2,6-二氨基-2,3,6-三脱氧-α-D-核-己吡喃糖基-(1→4)]-2-脱氧-D-链霉胺。按无水物计算,每1mg效价不得少于900妥布霉素单位。
【性状】 本品为白色或类白色粉末;有引湿性。
本品在水中易溶,在乙醇中极微溶解,在乙醚中几乎不溶。
比旋度 取本品,精密称定,加水溶解并定量稀释制成每1ml中约含40mg的溶液,依法测定(通则0621),比旋度为+138°至+148°。
【鉴别】 (1)取本品和妥布霉素标准品,分别加水制成每1ml中约含10mg的溶液,作为供试品溶液和标准品溶液。另取卡那霉素对照品、新霉素与妥布霉素标准品,加水制成每1ml中约含上述三种对照品或标准品各10mg的混合溶液。照薄层色谱法(通则0502)试验,吸取上述三种溶液各2μ1,分别点于同一硅胶G薄层板(临用前于105℃活化2小时)上,以三氯甲烷-甲醇-浓氨溶液(1:3:2)为展开剂,展开,晾干,喷以1%茚三酮的水饱和正丁醇溶液,在105℃加热2分钟。混合溶液应显三个完全分离的斑点,供试品溶液所显主斑点的位置与颜色应与标准品溶液主斑点的位置与颜色相同。
(2)取本品与妥布霉素标准品,分别加水溶解并定量稀释制成每1ml中约含0.8mg的溶液,作为供试品溶液和标准品溶液,照有关物质项下的色谱条件试验,供试品溶液主峰的保留时间应与标准品溶液主峰的保留时间一致。
以上(1)、(2)两项可选做一项。
【检查】 溶液的澄清度与颜色 取本品5份,各0.6g,分别加水5ml溶解后,溶液应澄清(通则0902第一法)无色;如显色,与黄色或黄绿色3号标准比色液(通则0901第一法)比较,均不得更深。
碱度 取本品,加水制成每1ml中含0.1g的溶液,依法测定(通则0631),pH值应为9.0~11.0。
有关物质 取本品适量,加水溶解并定量稀释制成每1ml中约含4mg的溶液,作为供试品溶液,精密量取适量,用水定量稀释制成每1ml中约含12μg、24μg、48μg的溶液,作为对照溶液(1)、(2)、(3)。照高效液相色谱法(通则0512)测定,用十八烷基硅烷键合硅胶为填充剂(pH值使用范围为0.8~8);以0.2mol/L三氟醋酸溶液为流动相;流速为每分钟0.4ml;用蒸发光散射检测器检测(参考条件:飘移管温度70~110℃,载气流量为每分钟3.0L)。分别称取卡那霉素B对照品与妥布霉素标准品适量,加水溶解并稀释制成每1ml中约含卡那霉素B0.25mg和妥布霉素0.25mg的混合溶液,取10μ1注入液相色谱仪,记录色谱图,妥布霉素峰的保留时间约为12分钟,卡那霉素B峰与妥布霉素峰间的分离度应符合要求。精密量取对照溶液(1)、(2)、(3)各10μ1,分别注入液相色谱仪,记录色谱图,以对照溶液浓度的对数值与相应峰面积的对数值计算线性回归方程,相关系数(r)应不小于0.99;另精密量取供试品溶液l0μl注入液相色谱仪,记录色谱图至主成分峰保留时间的2倍。供试品溶液色谱图中如有杂质峰,用线性回归方程计算,最大单一杂质的量不得过1.0%,其他单个杂质的量不得过0.5%,各杂质总量不得过1.5%。
水分 取本品,照水分测定法(通则0832第一法1)测定,含水分不得过8.0%。
炽灼残渣 取本品1.0g,依法检查(通则0841),不得过0.3%。
细菌内毒素 取本品,依法检查(通则1143),每1mg妥布霉素中含内毒素的量应小于2.0EU。(供注射用)
【含量测定】 精密称取本品适量,加灭菌水定量制成每1ml中约含1000单位的溶液,照抗生素微生物检定法(通则1201)测定。可信限率不得大于7%。1000妥布霉素单位相当于1mg的C
18
H
37
N
5
O
9
。
【类别】 氨基糖苷类抗生素。
【贮藏】 密封,在干燥处保存。
【制剂】 (1)妥布霉素滴眼液(2)妥布霉素地塞米松滴眼液(3)妥布霉素地塞米松眼膏(4)硫酸妥布霉素注射液
最新招商产品
更多>>
网站地图
-
网站开发
-
网站简介
-
会员服务
-
法律声明
-
联系我们
-
药品招商频道
-
药品信息排行
-
2018年版国家基本药物目录
-
意见反馈
免责声明:以上所展示的信息由企业自行提供,内容的真实性、准确性和合法性由发布企业负责,医药网对此不承担任何责任。
相关链接:
医药研究数据
|
医药资料
|
SDA药品评审中心
|
中医网
|
中药处方系统
|
爱视立眼贴
专业提供药品信息、药品招商、药品代理、保健品招商、医药原料采购供应的中国药品信息网站平台
版权所有 © 2003-2028 盗冒必究 客服热线:0575-83552251 / 13754370441 QQ客服:
浙ICP备16010490号-2
增值电信业务经营许可证:
浙B2-20220931
互联网药品信息服务资格证书编号:
(浙)-经营性2023-0215
浙公网安备:330683240604819103159
医药代理商群1:
医药代理商群2:
医药代理商群3: