首 页
医药产品
医保药品
一键查询
中标目录
医药招标
数据中心
医学资料
医药新闻
医药展会
OTC药品
保健品
医疗器械
处方药
专科药
中医药
器械中标目录
药品批发行情
求购信息
医药下载
当前位置:药药网 / 医药药典 / 药典
去氧氟尿苷
来源
二部
分类
正文品种第一部分
内容
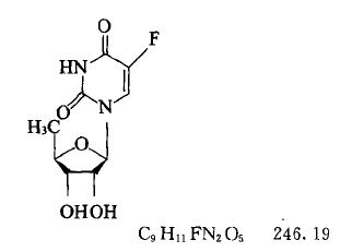
本品为5'-去氧-5-氟尿嘧啶核苷。按干燥品计算,含C
9
H
11
FN
2
O
5
应为98.0%~102.0%。
【性状】 本品为白色或类白色针状结晶或结晶性粉末。
本品在水中溶解,在甲醇中略溶,在乙醇中微溶,在乙醚中几乎不溶。
熔点 本品的熔点(通则0612)为188~193℃,熔融同时分解。
比旋度 取本品,精密称定,加水溶解并定量稀释制成每1ml中约含10mg的溶液,依法测定(通则0621),比旋度为+18.0°至+21.0°。
【鉴别】(1)取本品约0.2g,加水10ml溶解后,加溴试液1ml,振摇,红色即消失。
(2)在含量测定项下记录的色谱图中,供试品溶液主峰的保留时间应与对照品溶液主峰的保留时间一致。
(3)本品的红外光吸收图谱应与对照的图谱(光谱集716 图)一致。
(4)本品显有机氟化物的鉴别反应(通则0301)。
【检查】 酸度 取本品0.20g,加水20ml溶解后,依法测定(通则0631),pH值应为4.0~5.5。
游离氟离子 取本品1.0g,精密称定,置100ml量瓶中,加氯化钠-枸橼酸钠缓冲液(取氯化钠55g和枸橼酸钠0.5g,置 1000ml量瓶中,加水约350ml使溶解,小心加入氢氧化钠75g,振摇使溶解,放冷,边搅拌边小心加入冰醋酸225ml,放冷,加异丙醇300ml,用水稀释至1000ml,摇匀,即得。该缓冲液的pH值为5.0~5.5)溶解并稀释至刻度,摇匀,作为供试品溶液;另精密称取经105℃干燥4小时的氟化钠22.1mg,置100ml量瓶中,加水20ml使溶解,再加入0.04%氢氧化钠溶液10ml,用水稀释至刻度,摇匀,精密量取适量,用上述氯化钠-枸橼酸钠缓冲液分别稀释制成每1ml中含氟化钠lμg、3μg、5μg和10μg的溶液,作为系列对照品溶液。照电位滴定法(通则0701),用氟离子电极-甘汞电极分别测定系列对照品溶液和供试品溶液的电位。含游离氟离子(Fˉ)不得过0.05%。
有关物质 取本品适量,加流动相溶解并稀释制成每1ml中约含1mg的溶液,作为供试品溶液;精密量取1ml,置200ml量瓶中,用流动相稀释至刻度,摇匀,作为对照溶液。照含量测定项下的色谱条件,精密量取供试品溶液和对照溶液各20μl,分别注入液相色谱仪,记录色谱图至主成分峰保留时间的7倍。供试品溶液色谱图中如有杂质峰,单个杂质峰面积不得大于对照溶液的主峰面积(0.5%),各杂质峰面积的和不得大于对照溶液主峰面积的2倍(1.0%)。
干燥失重 取本品,在105℃干燥至恒重,减失重量不得过0.5%(通则0831)。
炽灼残渣 取本品1.0g,置铂坩埚中,依法检查(通则0841),遗留残渣不得过0.1%。
重金属 取炽灼残渣项下遗留的残渣,依法检查(通则0821第二法),含重金属不得过百万分之二十。
氯化物 取本品0.14g,照氯化物检查法(通则0801)测定,含氯化物不得过0.035%。
【含量测定】 照高效液相色谱法(通则0512)测定。
色谱条件与系统适用性试验 用十八烷基硅烷键合硅胶为填充剂;以水-乙腈-甲醇(75:5:20)为流动相;检测波长为 269nm。理论板数按去氧氟尿苷峰计算不低于1500。
测定法 取本品适量,精密称定,加流动相溶解并定量稀释制成每1ml中约含0.1mg的溶液,摇匀,作为供试品溶液,精 密量取20μl,注入液相色谱仪,记录色谱图;另精密称取去氧氟尿苷对照品适量,同法测定,按外标法以峰面积计算,即得。
【类别】 抗肿瘤药。
【贮藏】 遮光,密封保存。
【制剂】(1)去氧氟尿苷片(2)去氧氟尿苷分散片
(3)去氧氟尿苷胶囊
最新招商产品
更多>>
网站地图
-
网站开发
-
网站简介
-
会员服务
-
法律声明
-
联系我们
-
药品招商频道
-
药品信息排行
-
2018年版国家基本药物目录
-
意见反馈
免责声明:以上所展示的信息由企业自行提供,内容的真实性、准确性和合法性由发布企业负责,医药网对此不承担任何责任。
相关链接:
医药研究数据
|
医药资料
|
SDA药品评审中心
|
中医网
|
中药处方系统
|
爱视立眼贴
专业提供药品信息、药品招商、药品代理、保健品招商、医药原料采购供应的中国药品信息网站平台
版权所有 © 2003-2028 盗冒必究 客服热线:0575-83552251 / 13754370441 QQ客服:
浙ICP备16010490号-2
增值电信业务经营许可证:
浙B2-20220931
互联网药品信息服务资格证书编号:
(浙)-经营性2023-0215
浙公网安备:330683240604819103159
医药代理商群1:
医药代理商群2:
医药代理商群3: